Soal Logaritma dan Sifatnya

Sifat-sifat Logaritma












Soal Logaritma









Penyelesaian :
Diketahui: log3 = 0,477 dan log2 = 0,301








Jawabannya B










Penyelesaian :





Jawabannya A














Penyelesaian :
























Jawabannya A










Penyelesaian :

log4,72=0,674

log4720= log(4,72 1000)

= log4,72+ log1000

= log4,72+ log103

= 0,674+3

= 3,674

Jawabannya D







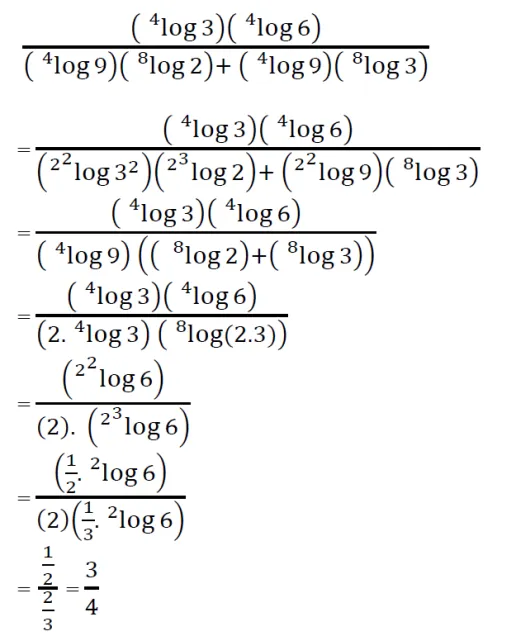
Penyelesaian :





Jawabannya E









Penyelesaian :





Jawabannya A






Penyelesaian :











Jawabannya D

8. Jika Diketahui 2log 8 = a dan 2log 4 = b. maka Tentukan nilai dari 6log 14

a. 1 /2
b. (1+2) / (2+1)
c. (a+1) / (b+2)
d. (1 +a) / (1+b)

Pembahasannya:

Untuk 2 log 8     = a
=  (log 8 / log 2) = a
=  log 8 = a log 2

Untuk 2 log 4     = b
=  (log 4 / log 2) = b
=  log 4 = b log 2

Maka ,16 log 8  = (log 16) / (log68)
=  (log 2.8) / (log 2.4)
=  (log 2 + log 8) / (log 2 + log 4)
=  (log 2 + a log a) / (log 2 + b log b)
=  log2 (1+ a) / log 2( 1+ b)
=  (1+a) / (1+ b)

Jadi, nilai dari 6 log 14 pada contoh soal diatas adalah (1+a) / (1+b). (D)

9. Nilai dari (3log 5 – 3 log 15 + 3log 9)…… ?

a. 2
b. 1
c. 4
d. 5

Pembahasannya :

(3log 5 – 3log 15 + 3log 9
= 3log ( 5 . 9) / 15
= 3log 45/15
= 3log 3
=1

Jadi nilai dari 3log 5 – 3log 15 + 3log 9 adalah 1. (B)

10. Diketahui log 3 = 0,332 dan log 2 = 0,225.maka log 18 dari soal tersebut adalah……..

a. 0,889
b. 0,556
c. 0,677
d. 0,876

Jawab:

Diket :

Log 3 = 0,332
Log 2 = 0,225

Ditanya: log 18 =…………….?

Jawaban:

Log 18 = log 9 . log 2
Log 18 = (log 3.log 3) . log 2
Log 18 = 2 . (0,332)  + (0,225)
Log 18 = 0,664 + 0,225
Log 18 = 0,889

Jadi, log 18 pada soal diatas adalah 0,889. (A)


Daftar Pustaka

https://www.zenius.net/blog/23423/contoh-sifat-persamaan-logaritma-rumus

https://www.quipper.com/id/blog/mapel/matematika/yuk-pelajari-7-soal-logaritma-dan-pembahasannya-ini-agar-kamu-semakin-pintar-matematika/

https://rumus.co.id/contoh-soal-logaritma/

Subscribe to receive free email updates:

0 Response to "Soal Logaritma dan Sifatnya"

Posting Komentar